Buoyancy 특징
- 간단한 모델링으로 복잡한 형상의 모델에 쉽게 부력(Buoyancy) 적용 가능.
- 유체해석 프로그램 Particleworks와 Co-Simulation 필요 없이 부력 정의 가능. 연성해석에 비해 속도도 월등히 빠름.
- 부력에 간단한 유속 고려 가능 (Expression을 이용한 정의)
- 부력 계산 시간은 '접촉 해석'과 비슷하게 소요.
- 강체와 유연체(Patch Set) 바디에 모두 적용 가능

Buoyancy 활용 분야
- 선박
- 해양 구조물 (부유식 풍력발전기, 해상 크레인 등)
- 수중 로봇 및 장비 (잠수함 등)
- 수륙 양용 차량
- 항공 분야
Buoyancy Option

- Reference Marker : 수면의 위치를 결정하는 기준이 되는 Marker
- Target Geometry : 부력을 받을 대상 물체를 지정하며, 부력이 작용하는 면을 지정.
- Density of Fluid : 유체의 밀도를 지정.
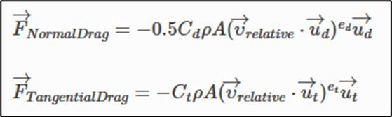
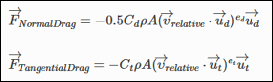
- Drag Force : Normal / Tangetial 방향에 대한 항력 계수를 지정.
- Exponent : 아래 식에서 ed에 해당하며, 속도에 대한 영향을 비선형적으로 표현하는 계수

- Flow Rate : 유속에 대한 값을 정의
- 유속은 Constant 로 상수 값을 적용하거나 혹은 Spline으로 변화하는 값을 정의 가능.
- Y방향은 수면의 수직방향으로 유속을 정의할 필요가 없음.

- Preview Reference Surface Factor : 수면을 보여주는 기능으로 해석에 영향을 주지 않음.
Buoyancy 적용 예시


예제 모델 문의
E-mail: tech.support@cmet.co.kr | Tel: 02-6335-7751
'RecurDyn > Professional' 카테고리의 다른 글
| 랜덤 진동 해석 (Random Vibration) (0) | 2025.05.09 |
|---|---|
| GeoContact / Stiction Option 마찰모델 (0) | 2025.03.19 |
| RecurDyn Post 기능 (0) | 2024.09.27 |
| 주파수 응답 해석 (Frequency Response Analysis) 방법 (0) | 2023.02.27 |
| RecurDyn 2023 - 해석 속도 78배 향상 (0) | 2023.02.16 |